[1] 0.6
Educational Statistics and Research Methods (ESRM) Program*
University of Arkansas
2024-10-09
Bayes’ Theorem
Likelihood function vs. Posterior distribution
How to report posterior distribution of parameters
Bayesian update
Bayesian Linear Regression and Multivariate Regression
What are key components of Bayesian models?
What are the differences between Bayesian with Frequentist analysis?
Bayesian methods rely on Bayes’ Theorem
P(θ|Data)=P(Data|θ)P(θ)P(Data)∝P(Data|θ)P(θ)
Where:
A Live Bayesian Example
Suppose we want to assess the probability of rolling a “1” on a six-sided die:
θ≡p1=P(D=1)
Suppose we collect a sample of data (N = 5):
Data≡X={0,1,0,1,1}
The prior distribution of parameters is denoted as P(p1): how much the probability of “1” will occur we “believe” ;
The likelihood function is denoted as P(X|p1);
The posterior distribution is denoted as P(p1|X)
The aim of Bayesian is to estimate the probability of rolling a “1” give the Data (posterior distribution) as:
P(p1|X)=P(X|p1)P(p1)P(X)∝P(X|p1)P(p1)
The Likelihood function P(X|p1) follows Binomial distribution of 3 successes out of 5 samples:
P(X|p1)=N=5∏i=1pXi1(1−p1)Xi=(1−pi)⋅pi⋅(1−pi)⋅pi⋅pi
We use Bernoulli (Binomial) Distribution (feat. Jacob Bernoulli, 1654-1705) because Bernoulli dist. has nice statistical probability.
LL(p1,Data={0,1,0,1,1})
[1] 0.6

LL(p1∈{0,0.2,0.4,0.6,0.8,1},Data∈{0/5,1/5,2/5,3/5,4/5,5/5})
library(tidyverse)
p1 = c(0, 2, 4, 6, 8, 10) / 10
nTrails = 5
nSuccess = 0:nTrails
Likelihood = sapply(p1, \(x) choose(nTrails,nSuccess)*(x)^nSuccess*(1-x)^(nTrails - nSuccess))
Likelihood_forPlot <- as.data.frame(Likelihood)
colnames(Likelihood_forPlot) <- p1
Likelihood_forPlot$Sample = factor(paste0(nSuccess, " out of ", nTrails), levels = paste0(nSuccess, " out of ", nTrails))
# plot
Likelihood_forPlot %>%
pivot_longer(-Sample, names_to = "p1") %>%
mutate(`log(Likelihood)` = log(value)) %>%
ggplot(aes(x = Sample, y = `log(Likelihood)`, color = p1)) +
geom_point(size = 2) +
geom_path(aes(group=p1), size = 1.3)
We must now pick the prior distribution of p1:
P(p1)
Compared to likelihood function, we have much more choices. Many distributions to choose from
To choose prior distribution, think about what we know about a “fair” die.
the probability of rolling a “1” is about 16
the probabilities much higher/lower than 16 are very unlikely
Let’s consider a Beta distribution:
p1∼Beta(α,β)
For parameters that range between 0 and 1, the beta distribution with two hyperparameters {α, β} makes a good choice for prior distribution:
P(p1)=(p1)a−1(1−p1)β−1B(α,β)
Where denominator B is:
B(α,β)=Γ(α)Γ(β)Γ(α+β)
and (fun fact: derived by Daniel Bernoulli (1700-1782)),
Γ(α)=∫∞0tα−1e−tdt
The Beta distribution has a mean of αα+β and a mode of α−1α+β−2 for α>1 & β>1; (fun fact: when α & β<1, pdf is U-shape, what that mean?)
α and β are called hyperparameters of the parameter p1;
Hyperparameters are parameters of prior parameters ;
When α=β=1, the distribution is uniform distribution;
To make sure P(p1=16) is the largest, we can:
Many choices: α=2 and β=6 has the same mode as α=100 and β=496; (hint: β=5α−4)
The differences between choices is how strongly we feel in our beliefs

When the binomial likelihood is multiplied by the beta prior, the result is proportional to another beta distribution:
This is the kernel of a beta distribution with updated parameters α′=x+α and β′=n−x+β. The fact that the posterior is still a beta distribution is what makes the beta distribution a conjugate prior for the binomial likelihood.
Human langauge: Both beta (prior) and binomial (likelihood) are so-called “exponetial family”. The muliplication of them is still a “exponential family” distribution.
# Function for variance of Beta distribution
varianceFun = function(alpha_beta){
alpha = alpha_beta[1]
beta = alpha_beta[2]
return((alpha * beta)/((alpha + beta)^2*(alpha + beta + 1)))
}
# Multiple prior choices from uninformative to informative
alpha_beta_choices = list(
I_dont_trust = c(2, 6),
not_strong = c(20, 96),
litte_strong = c(100, 496),
very_strong = c(200, 996))
## Transform to data.frame for plot
alpha_beta_variance_plot <- t(sapply(alpha_beta_choices, varianceFun)) %>%
as.data.frame() %>%
pivot_longer(everything(), names_to = "Degree", values_to = "Variance") %>%
mutate(Degree = factor(Degree, levels = unique(Degree))) %>%
mutate(Alpha_Beta = c(
"(2, 6)",
"(20, 96)",
"(100, 496)",
"(200, 996)"
))
alpha_beta_variance_plot %>%
ggplot(aes(x = Degree, y = Variance)) +
geom_col(aes(fill = Degree)) +
geom_text(aes(label = Alpha_Beta), size = 6) +
labs(title = "Variances along difference choices of alpha and beta") +
theme(text = element_text(size = 21)) 
dbeta <- function(p1, alpha, beta) {
# probability density function
PDF = ((p1)^(alpha-1)*(1-p1)^(beta-1)) / beta(alpha, beta)
return(PDF)
}
condition <- data.frame(
alpha = c(2, 20, 100, 200),
beta = c(6, 96, 496, 996)
)
pdf_bycond <- condition %>%
nest_by(alpha, beta) %>%
mutate(data = list(
dbeta(p1 = (1:99)/100, alpha = alpha, beta = beta)
))
## prepare data for plotting pdf by conditions
pdf_forplot <- Reduce(cbind, pdf_bycond$data) %>%
t() %>%
as.data.frame() ## merge conditions together
colnames(pdf_forplot) <- (1:99)/100 # add p1 values as x-axis
pdf_forplot <- pdf_forplot %>%
mutate(Alpha_Beta = c( # add alpha_beta conditions as colors
"(2, 6)",
"(20, 96)",
"(100, 496)",
"(200, 996)"
)) %>%
pivot_longer(-Alpha_Beta, names_to = 'p1', values_to = 'pdf') %>%
mutate(p1 = as.numeric(p1),
Alpha_Beta = factor(Alpha_Beta,levels = unique(Alpha_Beta)))
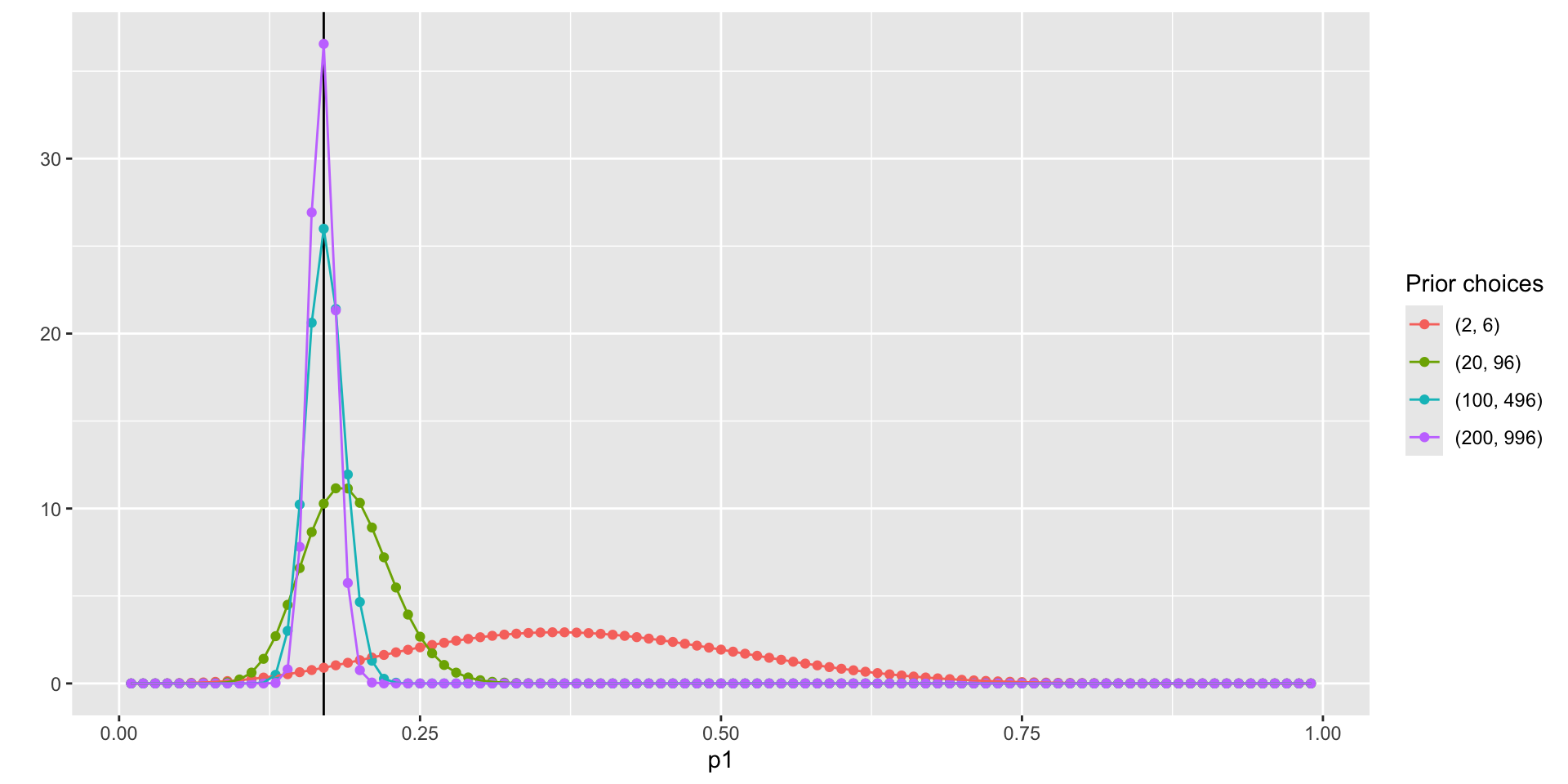
pdf_forplot %>%
ggplot() +
geom_vline(xintercept = 0.17, col = "black") +
geom_point(aes(x = p1, y = pdf, col = Alpha_Beta)) +
geom_path(aes(x = p1, y = pdf, col = Alpha_Beta, group = Alpha_Beta)) +
scale_color_discrete(name = "Prior choices")
Question: WHY NOT USE NORMAL DISTRIBUTION?
Choose a Beta distribution as the prior distribution of p1 is very convenient:
When combined with Bernoulli (Binomial) data likelihood, the posterior distribution (P(p1|Data)) can be derived analytically
The posterior distribution is also a Beta distribution
α′=α+∑Ni=1Xi (α′ is parameter of the posterior distribution)
β′=β+(N−∑Ni=1Xi) (β′ is parameter of the posterior distribution)
The Beta distribution is said to be a conjugate prior in Bayesian analysis: A prior distribution that leads to posterior distribution of the same family
dbeta_posterior <- function(p1, alpha, beta, data) {
alpha_new = alpha + sum(data)
beta_new = beta + (length(data) - sum(data) )
# probability density function
PDF = ((p1)^(alpha_new-1)*(1-p1)^(beta_new-1)) / beta(alpha_new, beta_new)
return(PDF)
}
# Observed data
dat = c(0, 1, 0, 1, 1)
condition <- data.frame(
alpha = c(2, 20, 100, 200),
beta = c(6, 96, 496, 996)
)
pdf_posterior_bycond <- condition %>%
nest_by(alpha, beta) %>%
mutate(data = list(
dbeta_posterior(p1 = (1:99)/100, alpha = alpha, beta = beta,
data = dat)
))
## prepare data for plotting pdf by conditions
pdf_posterior_forplot <- Reduce(cbind, pdf_posterior_bycond$data) %>%
t() %>%
as.data.frame() ## merge conditions together
colnames(pdf_posterior_forplot) <- (1:99)/100 # add p1 values as x-axis
pdf_posterior_forplot <- pdf_posterior_forplot %>%
mutate(Alpha_Beta = c( # add alpha_beta conditions as colors
"(2, 6)",
"(20, 96)",
"(100, 496)",
"(200, 996)"
)) %>%
pivot_longer(-Alpha_Beta, names_to = 'p1', values_to = 'pdf') %>%
mutate(p1 = as.numeric(p1),
Alpha_Beta = factor(Alpha_Beta,levels = unique(Alpha_Beta)))
pdf_posterior_forplot %>%
ggplot() +
geom_vline(xintercept = 0.17, col = "black") +
geom_point(aes(x = p1, y = pdf, col = Alpha_Beta)) +
geom_path(aes(x = p1, y = pdf, col = Alpha_Beta, group = Alpha_Beta)) +
scale_color_discrete(name = "Prior choices") +
labs( y = '')
To determine the estimate of p1 using data {0,1,0,1,1}, we need to summarize the posterior distribution:
With prior hyperparameters α=2 and β=6 and the data ∑Ni=1X=3 and N=5:
ˆp1=α′α′+β′=2+32+3+6+2=513=.3846
SD = 0.1300237
With prior hyperparameters α=100 and β=496:
ˆp1=100+3100+3+496+2=103601=.1714
SD = 0.0153589
[1] "Sample Posterior Mean: 0.388500388484552"
Stan is a widely used MCMC estimation program
Most recent; has many convenient features
Actually does several methods of estimation (ML, Variational Bayes)
You create a model using Stan’s syntax
Stan translates your model to a custom-built C++ syntax
Stan then compiles your model into its own executable program
You then run the program to estimate your model
Option 1: Stan has its own syntax which can be built in stand-alone text files (.stan)
Rstudio will let you create a stan file in the new File menu
Rstudio also has syntax highlighting in Stan files
Save .stan to the same path of your .r
Option 2: You can also use Stan in a interactive way in qmd file


data {
int<lower=0> N; // sample size
array[N] int<lower=0, upper=1> y; // observed data
real<lower=1> Alpha; // hyperparameter alpha
real<lower=1> Beta; // hyperparameter beta
}
parameters {
real<lower=0,upper=1> p1; // parameters
}
model {
p1 ~ beta(Alpha, Beta); // prior distribution
for(n in 1:N){
y[n] ~ bernoulli(p1); // model
}
}Running MCMC with 4 parallel chains...
Chain 1 Iteration: 1 / 2000 [ 0%] (Warmup)
Chain 1 Iteration: 1000 / 2000 [ 50%] (Warmup)
Chain 1 Iteration: 1001 / 2000 [ 50%] (Sampling)
Chain 1 Iteration: 2000 / 2000 [100%] (Sampling)
Chain 2 Iteration: 1 / 2000 [ 0%] (Warmup)
Chain 2 Iteration: 1000 / 2000 [ 50%] (Warmup)
Chain 2 Iteration: 1001 / 2000 [ 50%] (Sampling)
Chain 2 Iteration: 2000 / 2000 [100%] (Sampling)
Chain 3 Iteration: 1 / 2000 [ 0%] (Warmup)
Chain 3 Iteration: 1000 / 2000 [ 50%] (Warmup)
Chain 3 Iteration: 1001 / 2000 [ 50%] (Sampling)
Chain 3 Iteration: 2000 / 2000 [100%] (Sampling)
Chain 4 Iteration: 1 / 2000 [ 0%] (Warmup)
Chain 4 Iteration: 1000 / 2000 [ 50%] (Warmup)
Chain 4 Iteration: 1001 / 2000 [ 50%] (Sampling)
Chain 4 Iteration: 2000 / 2000 [100%] (Sampling)
Chain 1 finished in 0.0 seconds.
Chain 2 finished in 0.0 seconds.
Chain 3 finished in 0.0 seconds.
Chain 4 finished in 0.0 seconds.
All 4 chains finished successfully.
Mean chain execution time: 0.0 seconds.
Total execution time: 0.2 seconds.
Running MCMC with 4 parallel chains...
Chain 1 Iteration: 1 / 2000 [ 0%] (Warmup)
Chain 1 Iteration: 1000 / 2000 [ 50%] (Warmup)
Chain 1 Iteration: 1001 / 2000 [ 50%] (Sampling)
Chain 1 Iteration: 2000 / 2000 [100%] (Sampling)
Chain 2 Iteration: 1 / 2000 [ 0%] (Warmup)
Chain 2 Iteration: 1000 / 2000 [ 50%] (Warmup)
Chain 2 Iteration: 1001 / 2000 [ 50%] (Sampling)
Chain 2 Iteration: 2000 / 2000 [100%] (Sampling)
Chain 3 Iteration: 1 / 2000 [ 0%] (Warmup)
Chain 3 Iteration: 1000 / 2000 [ 50%] (Warmup)
Chain 3 Iteration: 1001 / 2000 [ 50%] (Sampling)
Chain 3 Iteration: 2000 / 2000 [100%] (Sampling)
Chain 4 Iteration: 1 / 2000 [ 0%] (Warmup)
Chain 4 Iteration: 1000 / 2000 [ 50%] (Warmup)
Chain 4 Iteration: 1001 / 2000 [ 50%] (Sampling)
Chain 4 Iteration: 2000 / 2000 [100%] (Sampling)
Chain 1 finished in 0.0 seconds.
Chain 2 finished in 0.0 seconds.
Chain 3 finished in 0.0 seconds.
Chain 4 finished in 0.0 seconds.
All 4 chains finished successfully.
Mean chain execution time: 0.0 seconds.
Total execution time: 0.2 seconds.
bayesplot::mcmc_dens(fit1$draws('p1')) +
geom_path(aes(x = p1, y = pdf),
data = pdf_posterior_forplot %>% filter(Alpha_Beta == '(2, 6)'), col = "red") +
geom_vline(xintercept = 1/6, col = "green") +
geom_vline(xintercept = 3/5, col = "purple") +
labs(title = "Posterior distribution using uninformative prior vs. the conjugate prior (The Gibbs sampler) method", caption = 'Green: mode of prior distribution; Purple: expected value from observed data; Red: Gibbs sampling method')# A tibble: 2 × 10
variable mean median sd mad q5 q95 rhat ess_bulk ess_tail
<chr> <dbl> <dbl> <dbl> <dbl> <dbl> <dbl> <dbl> <dbl> <dbl>
1 lp__ -9.19 -8.91 0.751 0.337 -10.7 -8.66 1.00 1812. 2400.
2 p1 0.383 0.377 0.131 0.137 0.180 0.609 1.00 1593. 1629.
bayesplot::mcmc_dens(fit2$draws('p1')) +
geom_path(aes(x = p1, y = pdf), data = pdf_posterior_forplot %>% filter(Alpha_Beta == '(100, 496)'), col = "red") +
geom_vline(xintercept = 1/6, col = "green") +
geom_vline(xintercept = 3/5, col = "purple") +
labs(title = "Posterior distribution using informative prior vs. the conjugate prior (The Gibbs sampler) method", caption = 'Green: mode of prior distribution; Purple: expected value from observed data; Red: Gibbs sampling method')# A tibble: 2 × 10
variable mean median sd mad q5 q95 rhat ess_bulk
<chr> <dbl> <dbl> <dbl> <dbl> <dbl> <dbl> <dbl> <dbl>
1 lp__ -276. -276. 0.716 0.317 -277. -275. 1.00 1816.
2 p1 0.171 0.171 0.0154 0.0155 0.146 0.197 1.00 1627.
# ℹ 1 more variable: ess_tail <dbl>
We can use the posterior distribution as a prior!
data {0, 1, 0, 1, 1} with the prior hyperparameter {2, 6} -> posterior parameter {5, 9}
new data {1, 1, 1, 1, 1} with the prior hyperparameter {5, 9} -> posterior parameter {10, 9}
one more new data {0, 0, 0, 0, 0} with the prior hyperparameter {10, 9} -> posterior parameter {10, 14}
library(ESRM64503)
dat <- dataSexHeightWeight
dat$Female <- ifelse(dat$sex == "F", 1, 0)
# Linear Model with Least Squares
## Center independent variable - HeightIN for better interpretation
dat$heightIN <- dat$heightIN - 60
## an empty model suggested by data
EmptyModel <- lm(weightLB ~ 1, data = dat)
## Examine assumptions and leverage of fit
### Residual plot, Q-Q residuals, Scale-Location
# plot(EmptyModel)
## Look at ANOVA table
### F-values, Sum/Mean of square of residuals
# anova(EmptyModel)
## look at parameter summary
summary(EmptyModel)
Call:
lm(formula = weightLB ~ 1, data = dat)
Residuals:
Min 1Q Median 3Q Max
-74.4 -52.4 -8.4 53.1 85.6
Coefficients:
Estimate Std. Error t value Pr(>|t|)
(Intercept) 183.40 12.61 14.55 9.43e-12 ***
---
Signif. codes: 0 '***' 0.001 '**' 0.01 '*' 0.05 '.' 0.1 ' ' 1
Residual standard error: 56.38 on 19 degrees of freedom
A Stan file saved as EmptyModel.stan
;//block type and is surrounded by curly brackets {}stanModel <- "
data {
int<lower=0> N;
vector[N] weightLB;
}
parameters {
real beta0;
real<lower=0> sigma;
}
model {
beta0 ~ normal(0, 1000);
sigma ~ uniform(0, 100000);
weightLB ~ normal(beta0, sigma);
}
"
1model00.fromString = cmdstan_model(stan_file = write_stan_file(stanModel))data block include the observed information
nrow() calculates the number of rows of data
Stan needs the data you declared in you syntax to be able to run
Within R, we can pass this data list to Stan via a list object
The entries in the list should correspond to the data block of the Stan syntax
Running MCMC with 3 chains, at most 4 in parallel...
Chain 1 Iteration: 1 / 3000 [ 0%] (Warmup)
Chain 1 Iteration: 100 / 3000 [ 3%] (Warmup)
Chain 1 Iteration: 200 / 3000 [ 6%] (Warmup)
Chain 1 Iteration: 300 / 3000 [ 10%] (Warmup)
Chain 1 Iteration: 400 / 3000 [ 13%] (Warmup)
Chain 1 Iteration: 500 / 3000 [ 16%] (Warmup)
Chain 1 Iteration: 600 / 3000 [ 20%] (Warmup)
Chain 1 Iteration: 700 / 3000 [ 23%] (Warmup)
Chain 1 Iteration: 800 / 3000 [ 26%] (Warmup)
Chain 1 Iteration: 900 / 3000 [ 30%] (Warmup)
Chain 1 Iteration: 1000 / 3000 [ 33%] (Warmup)
Chain 1 Iteration: 1100 / 3000 [ 36%] (Warmup)
Chain 1 Iteration: 1200 / 3000 [ 40%] (Warmup)
Chain 1 Iteration: 1300 / 3000 [ 43%] (Warmup)
Chain 1 Iteration: 1400 / 3000 [ 46%] (Warmup)
Chain 1 Iteration: 1500 / 3000 [ 50%] (Warmup)
Chain 1 Iteration: 1600 / 3000 [ 53%] (Warmup)
Chain 1 Iteration: 1700 / 3000 [ 56%] (Warmup)
Chain 1 Iteration: 1800 / 3000 [ 60%] (Warmup)
Chain 1 Iteration: 1900 / 3000 [ 63%] (Warmup)
Chain 1 Iteration: 2000 / 3000 [ 66%] (Warmup)
Chain 1 Iteration: 2001 / 3000 [ 66%] (Sampling)
Chain 1 Iteration: 2100 / 3000 [ 70%] (Sampling)
Chain 1 Iteration: 2200 / 3000 [ 73%] (Sampling)
Chain 1 Iteration: 2300 / 3000 [ 76%] (Sampling)
Chain 1 Iteration: 2400 / 3000 [ 80%] (Sampling)
Chain 1 Iteration: 2500 / 3000 [ 83%] (Sampling)
Chain 1 Iteration: 2600 / 3000 [ 86%] (Sampling)
Chain 1 Iteration: 2700 / 3000 [ 90%] (Sampling)
Chain 1 Iteration: 2800 / 3000 [ 93%] (Sampling)
Chain 1 Iteration: 2900 / 3000 [ 96%] (Sampling)
Chain 1 Iteration: 3000 / 3000 [100%] (Sampling)
Chain 2 Iteration: 1 / 3000 [ 0%] (Warmup)
Chain 2 Iteration: 100 / 3000 [ 3%] (Warmup)
Chain 2 Iteration: 200 / 3000 [ 6%] (Warmup)
Chain 2 Iteration: 300 / 3000 [ 10%] (Warmup)
Chain 2 Iteration: 400 / 3000 [ 13%] (Warmup)
Chain 2 Iteration: 500 / 3000 [ 16%] (Warmup)
Chain 2 Iteration: 600 / 3000 [ 20%] (Warmup)
Chain 2 Iteration: 700 / 3000 [ 23%] (Warmup)
Chain 2 Iteration: 800 / 3000 [ 26%] (Warmup)
Chain 2 Iteration: 900 / 3000 [ 30%] (Warmup)
Chain 2 Iteration: 1000 / 3000 [ 33%] (Warmup)
Chain 2 Iteration: 1100 / 3000 [ 36%] (Warmup)
Chain 2 Iteration: 1200 / 3000 [ 40%] (Warmup)
Chain 2 Iteration: 1300 / 3000 [ 43%] (Warmup)
Chain 2 Iteration: 1400 / 3000 [ 46%] (Warmup)
Chain 2 Iteration: 1500 / 3000 [ 50%] (Warmup)
Chain 2 Iteration: 1600 / 3000 [ 53%] (Warmup)
Chain 2 Iteration: 1700 / 3000 [ 56%] (Warmup)
Chain 2 Iteration: 1800 / 3000 [ 60%] (Warmup)
Chain 2 Iteration: 1900 / 3000 [ 63%] (Warmup)
Chain 2 Iteration: 2000 / 3000 [ 66%] (Warmup)
Chain 2 Iteration: 2001 / 3000 [ 66%] (Sampling)
Chain 2 Iteration: 2100 / 3000 [ 70%] (Sampling)
Chain 2 Iteration: 2200 / 3000 [ 73%] (Sampling)
Chain 2 Iteration: 2300 / 3000 [ 76%] (Sampling)
Chain 2 Iteration: 2400 / 3000 [ 80%] (Sampling)
Chain 2 Iteration: 2500 / 3000 [ 83%] (Sampling)
Chain 2 Iteration: 2600 / 3000 [ 86%] (Sampling)
Chain 2 Iteration: 2700 / 3000 [ 90%] (Sampling)
Chain 2 Iteration: 2800 / 3000 [ 93%] (Sampling)
Chain 2 Iteration: 2900 / 3000 [ 96%] (Sampling)
Chain 2 Iteration: 3000 / 3000 [100%] (Sampling)
Chain 3 Iteration: 1 / 3000 [ 0%] (Warmup)
Chain 3 Iteration: 100 / 3000 [ 3%] (Warmup)
Chain 3 Iteration: 200 / 3000 [ 6%] (Warmup)
Chain 3 Iteration: 300 / 3000 [ 10%] (Warmup)
Chain 3 Iteration: 400 / 3000 [ 13%] (Warmup)
Chain 3 Iteration: 500 / 3000 [ 16%] (Warmup)
Chain 3 Iteration: 600 / 3000 [ 20%] (Warmup)
Chain 3 Iteration: 700 / 3000 [ 23%] (Warmup)
Chain 3 Iteration: 800 / 3000 [ 26%] (Warmup)
Chain 3 Iteration: 900 / 3000 [ 30%] (Warmup)
Chain 3 Iteration: 1000 / 3000 [ 33%] (Warmup)
Chain 3 Iteration: 1100 / 3000 [ 36%] (Warmup)
Chain 3 Iteration: 1200 / 3000 [ 40%] (Warmup)
Chain 3 Iteration: 1300 / 3000 [ 43%] (Warmup)
Chain 3 Iteration: 1400 / 3000 [ 46%] (Warmup)
Chain 3 Iteration: 1500 / 3000 [ 50%] (Warmup)
Chain 3 Iteration: 1600 / 3000 [ 53%] (Warmup)
Chain 3 Iteration: 1700 / 3000 [ 56%] (Warmup)
Chain 3 Iteration: 1800 / 3000 [ 60%] (Warmup)
Chain 3 Iteration: 1900 / 3000 [ 63%] (Warmup)
Chain 3 Iteration: 2000 / 3000 [ 66%] (Warmup)
Chain 3 Iteration: 2001 / 3000 [ 66%] (Sampling)
Chain 3 Iteration: 2100 / 3000 [ 70%] (Sampling)
Chain 3 Iteration: 2200 / 3000 [ 73%] (Sampling)
Chain 3 Iteration: 2300 / 3000 [ 76%] (Sampling)
Chain 3 Iteration: 2400 / 3000 [ 80%] (Sampling)
Chain 3 Iteration: 2500 / 3000 [ 83%] (Sampling)
Chain 3 Iteration: 2600 / 3000 [ 86%] (Sampling)
Chain 3 Iteration: 2700 / 3000 [ 90%] (Sampling)
Chain 3 Iteration: 2800 / 3000 [ 93%] (Sampling)
Chain 3 Iteration: 2900 / 3000 [ 96%] (Sampling)
Chain 3 Iteration: 3000 / 3000 [100%] (Sampling)
Chain 1 finished in 0.0 seconds.
Chain 2 finished in 0.0 seconds.
Chain 3 finished in 0.0 seconds.
All 3 chains finished successfully.
Mean chain execution time: 0.0 seconds.
Total execution time: 0.2 seconds.
Within the compiled program and the data, the next step is to run the Markov Chain Monte Carlo (MCMC) sampling (this is basically equivalent to drawing from a posterior distribution)
In cmdstanr, running the MCMC sampling comes from the $sample() function that is part of the compiled program object
# A tibble: 3 × 3
variable mean rhat
<chr> <dbl> <dbl>
1 lp__ -87.2 1.00
2 beta0 183. 1.00
3 sigma 60.2 1.00
blavaan
SAMPLING FOR MODEL 'stanmarg' NOW (CHAIN 1).
Chain 1:
Chain 1: Gradient evaluation took 0.000348 seconds
Chain 1: 1000 transitions using 10 leapfrog steps per transition would take 3.48 seconds.
Chain 1: Adjust your expectations accordingly!
Chain 1:
Chain 1:
Chain 1: Iteration: 1 / 1500 [ 0%] (Warmup)
Chain 1: Iteration: 150 / 1500 [ 10%] (Warmup)
Chain 1: Iteration: 300 / 1500 [ 20%] (Warmup)
Chain 1: Iteration: 450 / 1500 [ 30%] (Warmup)
Chain 1: Iteration: 501 / 1500 [ 33%] (Sampling)
Chain 1: Iteration: 650 / 1500 [ 43%] (Sampling)
Chain 1: Iteration: 800 / 1500 [ 53%] (Sampling)
Chain 1: Iteration: 950 / 1500 [ 63%] (Sampling)
Chain 1: Iteration: 1100 / 1500 [ 73%] (Sampling)
Chain 1: Iteration: 1250 / 1500 [ 83%] (Sampling)
Chain 1: Iteration: 1400 / 1500 [ 93%] (Sampling)
Chain 1: Iteration: 1500 / 1500 [100%] (Sampling)
Chain 1:
Chain 1: Elapsed Time: 0.901 seconds (Warm-up)
Chain 1: 0.929 seconds (Sampling)
Chain 1: 1.83 seconds (Total)
Chain 1:
SAMPLING FOR MODEL 'stanmarg' NOW (CHAIN 2).
Chain 2:
Chain 2: Gradient evaluation took 4.7e-05 seconds
Chain 2: 1000 transitions using 10 leapfrog steps per transition would take 0.47 seconds.
Chain 2: Adjust your expectations accordingly!
Chain 2:
Chain 2:
Chain 2: Iteration: 1 / 1500 [ 0%] (Warmup)
Chain 2: Iteration: 150 / 1500 [ 10%] (Warmup)
Chain 2: Iteration: 300 / 1500 [ 20%] (Warmup)
Chain 2: Iteration: 450 / 1500 [ 30%] (Warmup)
Chain 2: Iteration: 501 / 1500 [ 33%] (Sampling)
Chain 2: Iteration: 650 / 1500 [ 43%] (Sampling)
Chain 2: Iteration: 800 / 1500 [ 53%] (Sampling)
Chain 2: Iteration: 950 / 1500 [ 63%] (Sampling)
Chain 2: Iteration: 1100 / 1500 [ 73%] (Sampling)
Chain 2: Iteration: 1250 / 1500 [ 83%] (Sampling)
Chain 2: Iteration: 1400 / 1500 [ 93%] (Sampling)
Chain 2: Iteration: 1500 / 1500 [100%] (Sampling)
Chain 2:
Chain 2: Elapsed Time: 0.748 seconds (Warm-up)
Chain 2: 0.937 seconds (Sampling)
Chain 2: 1.685 seconds (Total)
Chain 2:
SAMPLING FOR MODEL 'stanmarg' NOW (CHAIN 3).
Chain 3:
Chain 3: Gradient evaluation took 4.4e-05 seconds
Chain 3: 1000 transitions using 10 leapfrog steps per transition would take 0.44 seconds.
Chain 3: Adjust your expectations accordingly!
Chain 3:
Chain 3:
Chain 3: Iteration: 1 / 1500 [ 0%] (Warmup)
Chain 3: Iteration: 150 / 1500 [ 10%] (Warmup)
Chain 3: Iteration: 300 / 1500 [ 20%] (Warmup)
Chain 3: Iteration: 450 / 1500 [ 30%] (Warmup)
Chain 3: Iteration: 501 / 1500 [ 33%] (Sampling)
Chain 3: Iteration: 650 / 1500 [ 43%] (Sampling)
Chain 3: Iteration: 800 / 1500 [ 53%] (Sampling)
Chain 3: Iteration: 950 / 1500 [ 63%] (Sampling)
Chain 3: Iteration: 1100 / 1500 [ 73%] (Sampling)
Chain 3: Iteration: 1250 / 1500 [ 83%] (Sampling)
Chain 3: Iteration: 1400 / 1500 [ 93%] (Sampling)
Chain 3: Iteration: 1500 / 1500 [100%] (Sampling)
Chain 3:
Chain 3: Elapsed Time: 0.757 seconds (Warm-up)
Chain 3: 0.858 seconds (Sampling)
Chain 3: 1.615 seconds (Total)
Chain 3:
Computing post-estimation metrics (including lvs if requested)...
lhs op rhs est se z pvalue ci.lower ci.upper
1 weightLB ~ Female -105.00 7.265 -14.453 0.000 -119.239 -90.761
2 heightIN ~ Female -8.60 2.612 -3.293 0.001 -13.718 -3.482
3 weightLB ~~ heightIN 92.34 29.602 3.119 0.002 34.322 150.358
4 weightLB ~~ weightLB 263.89 83.449 3.162 0.002 100.332 427.448
5 heightIN ~~ heightIN 34.10 10.783 3.162 0.002 12.965 55.235
6 Female ~~ Female 0.25 0.000 NA NA 0.250 0.250
blavaan 0.5.8 ended normally after 1000 iterations
Estimator BAYES
Optimization method MCMC
Number of model parameters 5
Number of observations 20
Statistic MargLogLik PPP
Value NA 0.000
Parameter Estimates:
Regressions:
Estimate Post.SD pi.lower pi.upper Rhat Prior
weightLB ~
Female -49.807 10.279 -70.231 -29.254 1.010 normal(0,10)
heightIN ~
Female 9.957 3.640 2.807 17.303 1.011 normal(0,10)
Covariances:
Estimate Post.SD pi.lower pi.upper Rhat Prior
.weightLB ~~
.heightIN 199.554 63.772 102.194 348.539 1.009 beta(1,1)
Variances:
Estimate Post.SD pi.lower pi.upper Rhat Prior
.weightLB 591.989 187.899 302.939 1030.409 1.008 gamma(1,.5)[sd]
.heightIN 70.206 22.764 36.599 124.960 1.009 gamma(1,.5)[sd]
Today is a quick introduction to Bayesian Concept

ESRM 64503 - Lecture 11: Introduction to Bayesian